كيف تعرف قياس الزوايا؟ سنتعرف في هذا الموضوع على كيفية إيجاد قياس الزوايا المجهولة بطرق رياضية متعددة، بالإضافة إلى نبذة عن الزاوية وتعريفها وتطبيقاتها.
أولا: ماذا تعرف عن الزاوية (تعريف الزاوية)؟
يعرّف المهندسون الزاوية بأنها شّكلٌ هندسيُّ ناتج عن التقاء شعاعين بنقطة، يُسمى الشعاعان بضلعي الزاوية والنقطة المشتركة بينهما تسمى رأس الزاوية. [المصدر: ويكيبيديا – زاوية (هندسة)].

ومن أكثر الطرق الشائعة في قياس الزوايا بمقياس الدرجة المئوية، باستخدام دائرة، حيث يبلغ قياس الزاوية الدائرية 360 درجة (الدائرة تمثل 360 درجة مئوية).
ويمكنك قياس زاوية في مضلع إذا كنت تعرف شكل المضلع وقياس زواياه الأخرى، أو في حالة المثلث القائم الزاوية، إذا كنت تعرف قياسات ضلعين من ضلعه. بالإضافة إلى ذلك ، يمكنك قياس الزوايا باستخدام منقلة أو حساب زاوية بدون منقلة باستخدام آلة حاسبة بالرسوم البيانية.
اقرأ أيضا: حيل رياضية مدهشة وكيفية تطبيقها على أصدقائك
ثانيا: وحدات قياس الزوايا
كما يمكن قياس المسافات بوحدات مختلفة مثل المتر والقدم والميل والكيلومتر، فكذلك يمكن قياس الزوايا بوحدة مختلفة. ويمكن تلخيص وحدات قياس الزاوية الرئيسية فيما يأتي:
- الدورة، وتعبر الدورة عن قياس الزاوية المتشكلة عند دوران ضلع الزاوية حول نقطة الأصل، حتى العودة إلى الوضعية الابتدائية. ويمكن التعبير عن قياس الزاوية بذكر النسبة التي تشكلها الزاوية من الدورة الكاملة. ومن الأمثلة على ذلك: دورة، نصف دورة، ربع دورة، إلخ.
- الدرجة الستينية، وتعتبر هذه الطريقة من أكثر الطرق شيوعا في قياس الزاوية. وتنقسم الدائرة أو الدورة الواحدة إلى 360 درجة. وتتكون الدرجة الواحدة من 60 دقيقة، والدقيقة من 60 ثانية.
- الغراد، وتنقسم الدائرة أو الدورة الواحدة إلى 400 درجة غراد. وتتكون الدرجة الواحدة من 100 دقيقة، والدقيقة من 100 ثانية.
- الراديان، وتشكل الدورة الواحدة ما قيمته 2Pi = 2* 22/7 ويساوي تقريبا 3.14*2. أي أن قياس الزاوية الدائرية يساوي تقريبا 6.28 راد.
ثالثا: قياس الزوايا وأنواعها
كما يظهر في الشكل التالي، فإن للزاوية أنواعا عدة. و قياس الزاوية الحادة أكبر من الصفر وأقل من 90 درجة. والزاوية القائمة قياسها 90 درجة، وقياس الزاوية المنفرجة يتراوح بين 90 درجة إلى 180 درجة. أما قياس الزاوية المستقيمة فهو 180 درجة. والزاوية المنعكسة التي يزيد قياسها عن 180 درجة حتى 360 درجة.

اقرأ أيضا: أفضل مواقع التعلم اونلاين والدورات المجانية
رابعا: ماذا نستفيد من الزوايا في حياتنا العملية؟
الزاوية من أهم التطبيقات الرياضية التي دخلت الكثير من المجالات العملية والعلمية ولا يمكن الاستغناء عنها مطلقا. وإليك بعض التطبيقات التي تتدخل فيها الزاوية بشكل أساسي، على سبيل الذكر لا الحصر:
- استخدام الزاوية في تطبيقات إطلاق المقذوفات المختلفة (الصواريخ والمدافع وغيرها).
- استخدام الزوايا في الصناعات المختلفة، مثل الصناعات الميكانيكية والهندسية وغيرها.
- تحديد المواقع الجغرافية الأرضية، حيث أن أساس هذه التكنولوجيا مبني على قياس الزوايا وتطبيقاتها.
رابعا: كيفية قياس وحساب الزاويا بطرق سهلة وبسيطة
1. كيفية إيجاد قياس الزوايا بالمنقلة؟

تعتبر المنقلة الطريقة الأولى المستخدمة في معرفة قياس الزاوية. وببساطة لقياس زاوية بين ضلعين، قم بوضع قاع المنقلة على الضلع الأول، وانظر إلى الرقم الذي يتقاطع معه الضلع الثاني على المنقلة كما في الصورة السابقة.
انتبه دائما إلى قراءة قياس الزاوية بصورة صحيحة، ففي الصورة لاحظ أن الضلع الابتدائي يقع على التدريج 0 درجة، والضلع النهائي يقع علي التدريج 50 درجة. وهذا منطقي، لأن القراءة تمثل زاوية حادة والزاوية التي قمنا بقياسها هي زاوية حادة. واحذر من قول أن هذه الزاوية قياسها 130 درجة! فلا يمكن لزاوية حادة أن يكون قياسها أكبر من أو يساوي 90 درجة.
وكما هو معلوم، فإن المنقلة هي الطريقة التقليدية التي يعرفها الجميع لقياس الزوايا. فهل فكرت في كيفية قياس الزاويا بدون منقلة؟ إليك عددا من الطرق الرائعة في الفقرات الآتية.
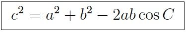
2. إيجاد قياس الزوايا الداخلية لمثلث معلوم أطوال الأضلاع

يمكن حساب الزوايا الداخلية لمثلث معلوم أطول الأضلاع باستخدام قانون جيب التمام (قانون الجتا)، باتباع الخطوات الآتية:

- حدد الزاوية التي تريد حسابها ولتكن C.
- ضع في تفكيرك دائما أن a و b هما الضلعان المجاوران للزاوية. و c هو الضلع المقابل للزاوية C.
- عوض مكان a, b, c في المعادلة السابقة.
- يمكن إعادة ترتيب المعادلة كما يآتي:

3. طريقة قياس الزاويا باستخدام شريط متري مرن ودائرة صلبة
يمكن قياس زاوية باستخدام شريط متري مرن وقرص دائري صلب باتباع الخطوات الآتية:
- قم بقياس محيط القرص الدائري باستخدام شريط متري مرن مصنوع من البلاستيك أو القطن، وليكن محيط الدائرة هو L1.
- اجعل رأس الزاوية على مركز الدائرة.
- قم بقياس محيط الدائرة المحصور بين ضلعي الزاوية، وليكن L2.
- أوجد قياس الزاوية من خلال المعادلة الآتية:

4. كيفية حساب زاوية في مثلث قائم
يمكن قياس أي زاوية حادة باستخدام زاوية قائمة (أو مثلث قائم الزاوية) من خلال الخطوات الآتية:

- ضع قاعدة المثلث قائم الزاوية على الضلع الابتدائي للزاوية، ثم ارسم خطا مستقيما عموديا على ضلع الابتداء.
- قم بقياس طول الخط العمودي الذي رسمته وليكن L1.
- قم بقياس طول الخط الأفقي بين رأس الزاوية والنقطة التي وضعت المثلث عندها وليكن L2.
- طبق المعادلة الآتية للحصول على قيمة الزاوية:

5. كيفية استخدام اليد في معرفة الزاوية
يمكن استخدام اليد كطريقة تقريبية لتقدير الزواية. فقط قم بفتح يدك إلى أقصى حد، وسيمثل الخنصر زاوية الصفر، والبنصر زاوية ال30 درجة، والوسطى زاوية 45 درجة. بينما تمثل السبابة زاوية قياسها 60 درجة، والإبهام زاوية قائمة.

الأسئلة الشائعة FAQ
كيف يمكن إيجاد قياس الزوايا المجهولة في المثلث؟
يمكن إيجاد الزوايا المجهولة في المثلث باستخدام قانون الجيب أو قانون جيب التمام إذا كانت أطوال الأضلاع معلومة. كما يمكن حسابها أيضًا عند معرفة زاويتين، لأن مجموع زوايا المثلث يساوي 180 درجة. على سبيل المثال، إذا عرفت زاويتين 60 و70 درجة، فالزاوية الثالثة = 180 − (60 + 70) = 50 درجة.
ما هي وحدات قياس الزوايا الأكثر استخداما؟
تُقاس الزوايا عادةً بثلاث وحدات رئيسية: الدرجة المئوية (°) وهي الأشهر، الراديان (rad) المستخدم في الحسابات الهندسية والعلمية، والغراد (grad) المستخدم أحيانًا في التطبيقات الهندسية. على سبيل المثال، الزاوية المستقيمة تساوي 180 درجة أو π راديان.
كيف أقيس الزوايا بدون منقلة؟
يمكنك قياس الزوايا بدون منقلة باستخدام قوانين المثلثات مثل قانون الجيب وجيب التمام، أو حتى باستخدام أدوات بسيطة مثل شريط متري ودائرة صلبة لحساب النسبة بين الأقواس. كما يمكنك تقدير الزوايا باستخدام يدك: الإبهام يمثل زاوية قائمة (90°) بينما الوسطى تمثل زاوية 45° تقريبًا.
ما الفرق بين الزاوية الحادة والمنفرجة والقائمة؟
الزاوية الحادة قياسها أكبر من 0 وأقل من 90 درجة، أما الزاوية القائمة فقياسها يساوي 90 درجة تمامًا، بينما الزاوية المنفرجة تتراوح بين 90 و180 درجة. هناك أيضًا الزاوية المستقيمة (180°) والزاوية المنعكسة (أكثر من 180° وحتى 360°).
هل يمكن استخدام الزوايا في الحياة اليومية؟
نعم، الزوايا تُستخدم في كل مكان: في الهندسة المعمارية لتصميم المباني، وفي الميكانيكا لتصميم الآلات، وحتى في تحديد المواقع الجغرافية (GPS). فكل نظام يعتمد على قياس الزوايا الدقيقة لتحديد الاتجاهات والمسافات.




